Floor vibration is one of the most misunderstood structural performance issues in modern building design. When a floor feels bouncy or uncomfortable, the instinctive engineering response has long been to make it heavier – adding mass, deepening beams or thickening slabs. It’s stronger, moves less, feels safer – it’s logical and defensible.

Yet this approach has led to a quiet epidemic of overdesign: floor structures that are materially excessive, economically inefficient and environmentally damaging.

The irony is that the problem we are trying to fix – vibration – is not a failure of strength, but of understanding. Floor structures are being fortified against tiny stresses due to resonant displacements of just a few microns by adding tonnes of material they will never need for load-carrying.

This is not good engineering; it’s engineering insurance.

The roots of this habit lie deep in civil engineering’s philosophy. Unlike mechanical or aerospace engineers, who prototype, iterate, test and refine their designs for mass production, civil engineers construct unique prototypes every time – one-off structures designed by written prescription rather than measurement and feedback. Without real-world measurement, uncertainty breeds conservatism. And in our civil structural engineering world, conservatism normally means more materials yielding more strength that isn’t needed. That equals overdesign.

This article explores the philosophical causes and economic consequences of that overdesign mindset – particularly in the context of floor vibration control. It shows why adding mass, stiffness and strength is both the least effective and most wasteful way to manage resonant floor vibration. It explains how new approaches, such as CALMFLOOR, can replace redundant material with intelligent damping, cutting both cost and embodied carbon.

The philosophy of overdesign

Overdesign has long been pervasive in civil structural engineering but rare in other disciplines such as mechanical or aerospace engineering. The key reason is that a civil structure is a one-off prototype, whereas cars and aircraft are refined through prototyping and repeated testing. This is a process that deepens understanding of the mass-produced product and improves its performance. This iterative design cycle leads to manufacturing precision, while buildings remain unique, handcrafted and rather rough prototypes that are constructed rather than manufactured.

In earlier decades, the economic penalty for overdesigning a building was relatively small because materials were cheap. But in industries where weight directly drives cost and performance – such as automotive and aerospace – overdesign is punished. A heavier plane or car consumes more fuel and quickly becomes uncompetitive. In buildings, the feedback loop is slower and the incentives for light-weighting structures are weaker.

Because of this, civil engineers have grown dependent on prescriptive codes, standards and guidelines – the written rules that replace physical testing and objective measurement. The result is a profession that often documents design rather than understands its real behaviour and performance. Many engineers, understandably, avoid measuring how their structures truly behave after construction, partly out of liability concerns if the data reveals something unexpected.

As a result, we civil structural engineers understand the products of our designs far less than our colleagues in other engineering disciplines. This uncertainty, coupled with a desire for safety, has led to a long-standing practice of compensating for the unknown by adding more material – designing not from knowledge, but from caution.

Quantifying inefficiency

The scale of overdesign becomes clearer when we look at the data.

The MEICON project (Orr, et al., 2018) found the average utilisation of steel beams in real buildings is only 40%, meaning 60% of their material strength is never used. If aircraft were designed this way, nothing would fly. Office floor live-load design values also reflect outdated assumptions – typically 4.8 kN/m² (100 psf) from 19th-century standards, versus modern occupancy data showing real loads closer to 1 kN/m². MEICON concluded this habitual conservatism can result in up to 200% more embodied carbon than necessary in many structures — one of construction’s most overlooked inefficiencies.

The floor vibration paradox

Nowhere is this tendency more visible than in floor vibration design. For decades, the default response to vibration discomfort has been to beef up the structure: add material, reduce spans and increase stiffness. The logic seems sound – more mass and stiffness should mean less vibration – but the outcome is technically weak and economically disastrous.

Excessive vibration is caused by tiny, resonant displacements – typically less than ten microns. Nevertheless, it has been countered by massively increasing floor depth or weight. One case study showed that, simply to control these minute vibrations, a modern 1,500 m² office floor spanning 15 m required about 200% more steel – rising from 31 t to 88 t. Multiply that across multiple floors and the cost, carbon and structural redundancy become staggering. All that added strength contributes nothing to the static load-carrying, which in fact is not needed and is therefore totally wasteful.

Understanding the basic dynamics

To understand why this happens, we need to revisit some fundamentals of structural dynamics:

  1. Most problematic floor vibrations arise from resonant excitation, typically from human walking.
  2. These dynamic forces are tiny – a few tens of newtons – compared with the many kilonewtons of static load the floor can support.
  3. The floor resists them through inertia, elastic restoring and damping forces.
  4. However, in resonance, inertia and restoring forces cancel each other, leaving the damping force as the only effective resistance to the external force.
  5. Increasing mass and stiffness boosts both inertia and restoring forces equally, but their cancellation remains.

This explains why adding mass and stiffness – the traditional “safe” solution – is so inefficient for control of resonant vibration. The answer to obvious: to boost primarily the only internal force that can oppose the external excitation at resonance – the damping force and not to boost the inertia (via increasing mass) and elastic restoring forces (via increasing stiffness) that keep cancelling each other at resonance.

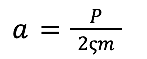
The resonant response of a governing mode of vibration can be expressed by the well-known resonance formula:

where:
• a = peak modal acceleration of the floor, proportional to the physical acceleration of the floor
• P = amplitude of the modal excitation force
• m = modal mass of the floor, which is proportional to the physical mass of the floor
• ζ (zeta) = modal damping ratio

Looking at this formula, in resonance, to halve the floor acceleration you must either double the damping ratio or double the mass. The former is difficult but, today, highly achievable; the latter is practically and economically impossible. This simple expression quantifies what experience already tells us: adding tonnes of material to fight microns of motion makes no sense. Improving damping is the only rational, efficient path to control resonant vibration.

CALMFLOOR: the intelligent source of damping

Here lies the fundamental shift. If a structure can generate a control force that’s  proportional to its own vibration velocity at every point in time during vibration, it can produce damping force by definition. This is precisely what a CALMFLOOR unit does.

By sensing the floor’s motion in real time and continuously applying a counterforce of just a few hundred newtons, CALMFLOOR increases the naturally existing damping ratio five-fold or more. In dynamic terms, considering the above formula, that’s equivalent to increasing the floor’s mass five-fold or more – an outcome impossible to achieve economically with traditional construction.

By targeting vibration directly rather than overbuilding against it, CALMFLOOR transforms vibration control. It allows designers to meet increasingly stringent floor vibration criteria without thickening slabs, shortening spans or wasting embodied carbon.

Unlocking design freedom

With damping handled intelligently, engineers can design floors for what really matters – strength, static deflection, fire safety, soundproofing and thermal comfort – and let CALMFLOOR manage vibration. This opens new possibilities:

  1. Long, lightweight spans of 15 m or more with absolutely minimal depth.
  2. Long-span mass-timber or modular floors with solid decking.
  3. Office-to-laboratory conversions demanding tighter vibration limits.
  4. Mixed-use floors where offices double as gyms or dance studios.

All this while preserving long spans and without a gram of additional materials to control vibrations.

Each scenario demonstrates the same principle: by decoupling vibration control from brute strength, we unlock design freedom.

Rethinking the economics of comfort

In essence, CALMFLOOR directly challenges the long-standing culture of overdesign in building floors. Addressing vibration through damping rather than redundant strength restores efficiency, cuts embodied carbon and enables slender, sustainable structures once deemed impossible or impractical.

Instead of pouring tonnes of material to fight microns of motion, engineers can now deliver vibration performance with confidence using intelligent precision at a fraction of the cost.

If you’d like to talk about how CALMFLOOR can ensure you avoid overdesign in your next project, please contact us.

Contact us

 

Reference:

Orr, J., Copping, A., Drewniok, M., Emmitt, S. & Ibell, T. (2018) MEICON: Minimising Energy in Construction – Survey of Structural Engineering Practice. Universities of Cambridge & Bath.